Boost C++ Libraries

...one of the most highly regarded and expertly designed C++ library projects in the world. Herb Sutter and Andrei Alexandrescu, C++ Coding Standards

Class template gamma_distribution
PrevUpHomeNext

Class template gamma_distribution

boost::random::gamma_distribution

Synopsis

// In header: <boost/random/gamma_distribution.hpp>

template<typename RealType = double> 
class gamma_distribution {
public:
  // types
  typedef RealType input_type; 
  typedef RealType result_type;

  // member classes/structs/unions

  class param_type {
  public:
    // types
    typedef gamma_distribution distribution_type;

    // construct/copy/destruct
    param_type(const RealType & = 1.0, const RealType & = 1.0);

    // public member functions
    RealType alpha() const;
    RealType beta() const;

    // friend functions
    template<typename CharT, typename Traits> 
      std::basic_ostream< CharT, Traits > & 
      operator<<(std::basic_ostream< CharT, Traits > &, const param_type &);
    template<typename CharT, typename Traits> 
      std::basic_istream< CharT, Traits > & 
      operator>>(std::basic_istream< CharT, Traits > &, param_type &);
    bool operator==(const param_type &, const param_type &);
    bool operator!=(const param_type &, const param_type &);
  };

  // construct/copy/destruct
  explicit gamma_distribution(const result_type & = 1.0, 
                              const result_type & = 1.0);
  explicit gamma_distribution(const param_type &);

  // public member functions
  RealType alpha() const;
  RealType beta() const;
  RealType min() const;
  RealType max() const;
  param_type param() const;
  void param(const param_type &);
  void reset();
  template<typename Engine> result_type operator()(Engine &);
  template<typename URNG> 
    RealType operator()(URNG &, const param_type &) const;

  // friend functions
  template<typename CharT, typename Traits> 
    std::basic_ostream< CharT, Traits > & 
    operator<<(std::basic_ostream< CharT, Traits > &, 
               const gamma_distribution &);
  template<typename CharT, typename Traits> 
    std::basic_istream< CharT, Traits > & 
    operator>>(std::basic_istream< CharT, Traits > &, gamma_distribution &);
  bool operator==(const gamma_distribution &, const gamma_distribution &);
  bool operator!=(const gamma_distribution &, const gamma_distribution &);
};

Description

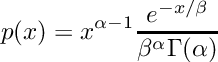
The gamma distribution is a continuous distribution with two parameters alpha and beta. It produces values > 0.

It has .

gamma_distribution public construct/copy/destruct

  1. explicit gamma_distribution(const result_type & alpha = 1.0, 
                                const result_type & beta = 1.0);

    Creates a new gamma_distribution with parameters "alpha" and "beta".

    Requires: alpha > 0 && beta > 0

  2. explicit gamma_distribution(const param_type & param);

    Constructs a gamma_distribution from its parameters.

gamma_distribution public member functions

  1. RealType alpha() const;

    Returns the "alpha" paramter of the distribution.

  2. RealType beta() const;

    Returns the "beta" parameter of the distribution.

  3. RealType min() const;

    Returns the smallest value that the distribution can produce.

  4. RealType max() const;
  5. param_type param() const;

    Returns the parameters of the distribution.

  6. void param(const param_type & param);

    Sets the parameters of the distribution.

  7. void reset();

    Effects: Subsequent uses of the distribution do not depend on values produced by any engine prior to invoking reset.

  8. template<typename Engine> result_type operator()(Engine & eng);

    Returns a random variate distributed according to the gamma distribution.

  9. template<typename URNG> 
      RealType operator()(URNG & urng, const param_type & param) const;

gamma_distribution friend functions

  1. template<typename CharT, typename Traits> 
      std::basic_ostream< CharT, Traits > & 
      operator<<(std::basic_ostream< CharT, Traits > & os, 
                 const gamma_distribution & gd);

    Writes a gamma_distribution to a std::ostream.

  2. template<typename CharT, typename Traits> 
      std::basic_istream< CharT, Traits > & 
      operator>>(std::basic_istream< CharT, Traits > & is, 
                 gamma_distribution & gd);

    Reads a gamma_distribution from a std::istream.

  3. bool operator==(const gamma_distribution & lhs, 
                    const gamma_distribution & rhs);

    Returns true if the two distributions will produce identical sequences of random variates given equal generators.

  4. bool operator!=(const gamma_distribution & lhs, 
                    const gamma_distribution & rhs);

    Returns true if the two distributions can produce different sequences of random variates, given equal generators.


PrevUpHomeNext